
Rintangan adalah berapa banyak bahan yang cuba menghentikan arus elektrik dari mengalir melaluinya.Apabila elektrik bergerak melalui dawai atau bahan lain, ia sebenarnya terdiri daripada zarah -zarah kecil yang dipanggil elektron.Elektron ini bertemu dengan atom dan bahagian kecil lain di dalam bahan.Setiap kali mereka bertemu dengan sesuatu, mereka melambatkan sedikit.Ini melambatkan menjadikannya lebih sukar bagi elektrik untuk terus bergerak.Beberapa tenaga dari elektron bergerak menjadi haba.Itulah sebabnya wayar boleh menjadi hangat apabila elektrik mengalir melalui mereka.Simbol untuk rintangan adalah R, dan sangat penting dalam memastikan elektrik mengalir dengan selamat dan betul dalam litar.
Sesetengah bahan mempunyai rintangan yang rendah, yang bermaksud elektrik boleh bergerak dengan mudah.Tembaga dan perak adalah dua contoh hebat.Itulah sebabnya kami menggunakannya dalam wayar dan bahagian elektrik, mereka membiarkan elektrik melalui tanpa banyak masalah.Bahan lain, seperti getah atau kaca, mempunyai rintangan yang tinggi.Elektrik mempunyai masa yang sukar bergerak melalui mereka, jadi mereka digunakan untuk menghentikan arus.Ini dipanggil penebat.Mengetahui sama ada bahan mempunyai rintangan yang tinggi atau rendah membantu anda menentukan cara membina sistem elektrik yang selamat dan berguna.
Konduktansi adalah bertentangan dengan rintangan.Ia memberitahu kita betapa mudahnya elektrik dapat mengalir melalui bahan.Sekiranya bahan mempunyai konduktansi yang tinggi, elektrik bergerak dengan cepat dan tanpa perlahan.Konduktansi ditunjukkan oleh huruf G, dan ia adalah idea penting dalam elektrik, seperti rintangan.Logam seperti tembaga dan aluminium mempunyai konduktansi yang tinggi.Ini bermakna elektron mereka boleh bergerak dengan bebas, yang menjadikan mereka sangat baik untuk membawa arus elektrik.Kerana ini, mereka sering digunakan dalam talian kuasa, wayar, dan bahagian elektronik.Ia juga membantu mereka menyelesaikan masalah dalam litar atau merancang sistem baru.Memahami betapa mudahnya elektrik bergerak melalui bahan membantu memastikan perkara berfungsi dengan baik dan tidak membazirkan tenaga.

Rajah 2. Konduksikan dan Rintangan dalam Litar Elektrik
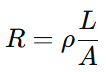
Rintangan adalah cara untuk mengukur berapa banyak bahan yang melambatkan arus elektrik.Terdapat dua formula utama untuk mencari rintangan, dan masing -masing berguna dalam situasi yang berbeza.

Dalam formula ini, r bermaksud rintangan, ρ (huruf Yunani "rho") adalah resistiviti bahan, L adalah panjang dawai, dan A adalah ketebalan dawai atau kawasan keratan rentas.Bahan dengan resistiviti yang lebih tinggi melambatkan lebih banyak arus.Juga, jika dawai lebih panjang, ia memberikan lebih banyak rintangan kerana arus perlu bergerak lebih jauh.Kawat yang lebih nipis juga menjadikannya lebih sukar untuk semasa melewati.Oleh itu, dawai yang panjang dan kurus mempunyai lebih banyak rintangan daripada yang pendek dan tebal yang diperbuat daripada bahan yang sama.Formula ini sering digunakan semasa merancang sistem elektrik atau memilih jenis wayar yang betul.

Ini adalah satu lagi cara untuk mengira rintangan, menggunakan perkara yang boleh anda ukur: voltan (v) dan arus (i).Peraturan ini dipanggil Undang -undang Ohm.Jika anda tahu berapa banyak voltan merentasi peranti dan berapa banyak arus yang akan melalui, anda boleh membahagikan voltan dengan arus untuk mencari rintangan.Ini sangat berguna apabila anda tidak mengetahui sifat bahan tetapi boleh mengambil pengukuran mudah dengan alat seperti multimeter.Perlu diingat bahawa rintangan boleh berubah jika suhu berubah.Sebagai contoh, sesetengah bahan menentang elektrik lebih banyak apabila mereka menjadi panas.
Konduksikan memberitahu kita bertentangan dengan rintangan, ia menunjukkan betapa mudahnya elektrik dapat mengalir melalui sesuatu.Semakin tinggi konduktansi, semakin mudah aliran.

Dalam formula ini, G adalah konduktansi dan R adalah rintangan.Ia adalah peraturan yang mudah: jika rintangan tinggi, konduktansi adalah rendah, dan jika rintangan rendah, konduktansi adalah tinggi.Konduksikan membantu apabila bekerja dengan litar yang mempunyai banyak laluan untuk perjalanan semasa (ini dipanggil litar selari).Dalam kes tersebut, lebih mudah untuk menambah konduktansi setiap bahagian dan bukannya rintangan.Ini menjadikan masalah penyelesaian lebih cepat dan membantu apabila membina atau menetapkan litar.
Dalam litar elektrik, perintang adalah bahagian yang melambatkan aliran elektrik.Bagaimana perintang ini disambungkan membuat perbezaan besar bagaimana elektrik bergerak melalui litar.Dalam litar selari, perintang disambungkan bersebelahan.Ini bermakna setiap perintang mempunyai jalan tersendiri untuk elektrik untuk bergerak.Apabila anda menambah lebih banyak perintang dalam litar seperti ini, sesuatu yang menarik berlaku: jumlah rintangan sebenarnya semakin kecil, tidak lebih besar.Fikirkan ia seperti menambah lebih banyak lorong ke jalan.Dengan lebih banyak lorong, lalu lintas boleh bergerak lebih mudah.Dengan cara yang sama, menambah lebih banyak perintang selari memberikan lebih banyak laluan elektrik untuk diikuti, jadi ia mengalir dengan lebih mudah dan memenuhi rintangan yang kurang.
Kita dapat mencari rintangan total dalam litar selari menggunakan formula ini:

Ini hanya bermakna: tambah "penyongsang" (atau 1 dibahagikan dengan setiap perintang) dan kemudian ambil kebalikannya untuk mendapatkan jumlah rintangan.Hasilnya selalu lebih kecil daripada perintang terkecil dalam kumpulan.Ini sangat berguna apabila kita mahu elektrik bergerak dengan mudah, seperti dalam sistem kuasa, pendawaian rumah, atau peranti elektronik yang cepat.Kurang rintangan bermakna kurang tenaga hilang.

Rajah 3. Litar selari dengan empat perintang
Gambar rajah menunjukkan litar selari dengan empat perintang, bernama R1, R2, R3, dan R4.Anda dapat melihat bahawa setiap perintang dihubungkan antara dua wayar yang sama, satu di atas dan satu di bahagian bawah.Ini bermakna elektrik boleh melalui mana -mana perintang tanpa perlu melalui yang lain.Garis oren bergelombang adalah perintang, dan garis hitam adalah wayar yang membawa elektrik.Di sebelah kiri gambar, ia mengingatkan kita bahawa jumlah rintangan lebih kecil daripada mana -mana perintang individu dalam litar.Ini adalah salah satu idea utama bagaimana litar selari berfungsi.
Dalam litar elektrik, perintang boleh diatur dalam pelbagai konfigurasi, salah satu yang paling biasa adalah sambungan siri.Dalam litar siri, perintang disambungkan ke hujung-ke-akhir supaya hanya satu laluan untuk arus mengalir.Ini bermakna bahawa arus elektrik yang meninggalkan sumber kuasa mesti melalui setiap perintang secara berurutan sebelum kembali ke sumber.Jumlah rintangan dalam litar siri dikira dengan menambahkan rintangan individu semua perintang dalam gelung.Ini dinyatakan dengan formula:

Prinsip ini menunjukkan bahawa apabila lebih banyak perintang ditambah secara siri, rintangan keseluruhan meningkat.Jumlah rintangan yang lebih tinggi menghasilkan arus yang lebih rendah yang mengalir melalui litar, menurut undang -undang Ohm (V = IR).Tingkah laku ini berguna dalam litar pembahagi voltan yang memerlukan penurunan voltan tertentu merentasi komponen yang berbeza.

Rajah 4. Litar perintang siri
Rajah di atas menunjukkan litar siri mudah yang terdiri daripada bateri 9-volt dan tiga perintang yang dilabelkan R1, R2, dan R3.Resistor tidak ditunjukkan secara individu tetapi secara kolektif diwakili antara titik 2 dan 3, dengan jumlah rintangan setara 18 kΩ.Bateri disambungkan antara titik 1 dan 4, dengan terminal positif pada titik 1 dan terminal negatif pada titik 4, mewujudkan arah aliran semasa mengikut arah jam melalui litar.
Arus dalam litar ini mengalir dari terminal positif bateri (titik 1), melalui perintang yang disambungkan siri (dari titik 2 hingga titik 3), dan akhirnya kembali ke terminal negatif bateri (titik 4).Oleh kerana semua perintang dalam siri, jumlah yang sama semasa pas melalui setiap perintang.Penurunan voltan merentasi keseluruhan rangkaian perintang sama dengan voltan bateri, iaitu 9 V.
Dalam litar elektrik, konduktansi (dilambangkan oleh G) adalah ukuran bagaimana mudah elektrik dapat mengalir melalui komponen.Ia adalah timbal balik rintangan (g = 1/r), yang bermaksud bahawa konduktansi yang lebih tinggi menunjukkan rintangan yang lebih rendah dan aliran arus yang lebih mudah.Apabila pelbagai unsur konduktif (seperti perintang atau laluan konduktif) disusun secara selari, konduktans individu mereka menambah bersama untuk menentukan jumlah konduktansi litar.Dalam konfigurasi litar selari, setiap laluan membolehkan arus mengalir secara bebas daripada yang lain.Oleh kerana lebih banyak cawangan ditambah, masing -masing dengan konduktansi sendiri, keupayaan keseluruhan litar untuk menjalankan kenaikan elektrik.Ini kerana setiap laluan tambahan menyediakan laluan alternatif untuk semasa, dengan berkesan mengurangkan pembangkang keseluruhan kepada aliran semasa.
Formula untuk jumlah konduktansi dalam konfigurasi selari adalah:

Hubungan ini adalah linear, yang bermaksud bahawa jika anda menggandakan bilangan cawangan yang sama, anda menggandakan jumlah konduktansi.Ini berbeza dengan rintangan selari, yang menambah dalam timbal balik.

Rajah 5. Jumlah konduktansi dalam litar selari
Rajah secara visual menggambarkan litar selari yang mengandungi empat cawangan konduktif yang dilabelkan G₁, G₂, G₃, dan G₄.Setiap cawangan terdiri daripada simbol seperti perintang yang mewakili konduktansi.Cawangan -cawangan ini diatur secara menegak, bersebelahan, dan semuanya disambungkan di bahagian atas dan bawah ke konduktor mendatar biasa.Struktur ini membentuk susun atur selari klasik, di mana voltan di setiap cawangan adalah sama, tetapi semasa membahagikan mengikut konduktansi setiap jalan.Di sebelah kiri rajah, persamaan untuk jumlah konduktansi ditunjukkan:

Anak panah dari titik persamaan terus kepada konduktor yang sepadan, mengukuhkan idea bahawa setiap konduktansi menyumbang secara tambahan kepada jumlah konduktansi.Prinsip konduktansi selari ini penting dalam reka bentuk rangkaian elektrik yang cekap, terutamanya dalam aplikasi yang memerlukan impedans yang rendah dan kapasiti semasa yang tinggi.Sebagai contoh, dalam sistem pemprosesan isyarat, mengekalkan rintangan yang rendah memastikan kehilangan isyarat minimum.Dalam talian penghantaran data, konduktansi yang lebih baik membantu mengekalkan integriti isyarat dalam jarak jauh.
Konduktansi dalam litar siri beroperasi mengikut prinsip bahawa konduktansi adalah timbal balik rintangan.Dalam mana -mana litar elektrik, apabila perintang disambungkan secara siri, rintangan individu mereka menambah, dengan itu meningkatkan jumlah rintangan litar.Akibatnya, jumlah konduktansi sistem berkurangan.Hubungan ini boleh dinyatakan secara matematik oleh formula berikut:

Dalam formula ini, gtotal mewakili konduktansi keseluruhan litar siri, dan R1, R2, R3, ..., RN adalah rintangan individu setiap perintang dalam siri ini.Oleh kerana rintangan meningkat apabila lebih banyak perintang ditambah secara siri, penyebut menjadi lebih besar, yang seterusnya menyebabkan jumlah konduktansi berkurang.Ciri -ciri litar siri ini menjadikannya berguna dalam aplikasi di mana kawalan halus semasa diperlukan.Sebagai contoh, mereka sering bekerja dalam penapis elektronik, instrumen pengukur, dan sistem kawalan ketepatan.Dengan berhati -hati memilih nilai perintang, anda boleh memanipulasi berapa banyak arus yang dibenarkan melalui litar dengan ketepatan yang tinggi.

Rajah 6. konduktansi dalam siri
Rajah 6 secara visual mewakili litar elektrik yang mudah di mana tiga perintang, yang dilabelkan R1, R2, R3, disambungkan secara siri.Resistor ini diselaraskan end-to-end dalam satu gelung yang dikuasakan oleh sumber voltan, yang ditunjukkan di pusat bawah rajah dengan simbol bateri standard yang menunjukkan polaritas (terminal positif dan negatif).Rintangan total sambungan siri ini dilambangkan sebagai RT, dan arus mengalir mengikut arah jam melalui litar, seperti yang ditunjukkan oleh anak panah.
Rajah ini membantu menggambarkan konsep rintangan siri dan kesannya terhadap konduktansi.Setiap perintang menambah jumlah rintangan, dan oleh itu, jumlah konduktansi, yang diwakili oleh gtotal dan dikira sebagai timbal balik jumlah ini.Imej itu berkesan menyokong penjelasan bagaimana menambah lebih banyak perintang dalam siri mempengaruhi aliran dan konduktansi semasa dalam litar.
Beberapa faktor mempengaruhi seberapa baik bahan yang menentang atau menjalankan arus elektrik.Ini termasuk:
Bahan yang berbeza mempunyai sifat elektrik yang wujud.Konduktor, seperti tembaga, perak, dan aluminium, membolehkan elektron bergerak bebas kerana banyak elektron bebas dalam struktur atom mereka.Sebaliknya, penebat seperti getah, kaca, atau plastik mempunyai elektron terikat yang ketat yang tidak bergerak dengan mudah, mengakibatkan rintangan yang tinggi.Semikonduktor jatuh di antara, dengan kekonduksian yang boleh dikawal atau diubahsuai.Pengaturan atom dan pergerakan elektron bahan sebahagian besarnya menentukan konduktansi atau rintangan asasnya.
Apabila suhu meningkat, rintangan kebanyakan bahan konduktif (terutamanya logam) juga meningkat.Ini kerana atom -atom di dalam konduktor bergetar lebih bersungguh -sungguh pada suhu yang lebih tinggi, yang menyebabkan perlanggaran yang lebih kerap dengan elektron bergerak, menghalang aliran mereka.Walau bagaimanapun, dalam semikonduktor dan beberapa penebat, suhu yang lebih tinggi dapat meningkatkan konduktansi dengan membebaskan lebih banyak pembawa caj, menjadikan hubungan antara suhu dan rintangan bergantung kepada jenis bahan.
Saiz fizikal dan bentuk bahan sangat mempengaruhi rintangannya.Konduktor yang lebih lama menyediakan lebih banyak peluang untuk elektron untuk bertabrakan dengan atom, meningkatkan rintangan.Sebaliknya, konduktor yang lebih tebal (kawasan keratan rentas yang lebih luas) membolehkan lebih banyak ruang bagi elektron untuk melalui secara serentak, mengurangkan rintangan.
Kekotoran dalam bahan boleh mengganggu aliran elektron.Atom asing atau kecacatan struktur mewujudkan pusat penyebaran yang menghalang atau membelokkan elektron bergerak, meningkatkan rintangan.Dalam logam atau semikonduktor yang sangat disucikan, aliran elektron jauh lebih lancar, yang membawa kepada konduktansi yang lebih baik.Dalam aplikasi elektronik yang sensitif, bahan -bahan sering disempurnakan untuk kesucian yang tinggi untuk meminimumkan rintangan yang tidak diingini.
Dalam litar semasa (AC), rintangan dan konduktansi tidak hanya terjejas oleh bahan dan bentuk, tetapi juga oleh sifat elektromagnet.AC frekuensi tinggi boleh menyebabkan "kesan kulit," di mana arus cenderung mengalir berhampiran permukaan konduktor, dengan berkesan mengurangkan kawasan keratan rentas dan peningkatan rintangan.Medan magnet luaran juga boleh mempengaruhi laluan elektron melalui induksi elektromagnet, yang berpotensi menambah rintangan atau mengubah arah semasa.Kesan ini penting dalam kejuruteraan elektrik dan sistem frekuensi tinggi seperti penghantaran radio.
Rintangan dan konduktansi membantu kita memahami bagaimana elektrik bergerak melalui bahan yang berbeza.Rintangan menunjukkan betapa sukarnya untuk mengalir elektrik, dan konduktansi menunjukkan betapa mudahnya.Panduan ini menunjukkan cara mudah untuk mengukurnya, menjelaskan unit yang kami gunakan, dan memberikan contoh bagaimana mereka bekerja dalam persediaan litar yang berbeza.Ia juga menjelaskan bagaimana keadaan seperti bahan, saiz, dan haba boleh mengubah cara aliran elektrik.Dengan mengetahui semua ini, anda boleh membina litar yang lebih baik, menyelesaikan masalah dengan lebih mudah, dan memilih bahagian yang sesuai untuk pekerjaan itu.Sama ada anda sedang menjalankan projek sekolah atau menetapkan elektronik, mengetahui tentang rintangan dan konduktansi menjadikan semuanya lebih mudah dan lebih selamat.
Sila hantar pertanyaan, kami akan bertindak balas dengan segera.
Rintangan dan konduktor dihubungkan dengan cara mudah bergerak elektrik.Konduktor adalah bahan yang membolehkan elektrik melewatinya dengan mudah, yang bermaksud ia mempunyai rintangan yang rendah.Jadi, apabila sesuatu adalah konduktor yang baik, ia secara semulajadi menentang elektrik kurang.Sebagai contoh, tembaga adalah konduktor yang baik kerana ia menawarkan sedikit rintangan kepada semasa.Lebih baik konduktor, semakin rendah rintangannya.
Tidak, rintangan tidak berkadar secara langsung dengan konduktor.Malah, mereka berkait rapat.Jika bahan adalah konduktor yang lebih baik, ia mempunyai rintangan yang kurang.Jadi, apabila konduktansi naik, rintangan turun.Inilah sebabnya mengapa konduktansi ditakrifkan sebagai timbal balik rintangan: G = 1 / R. Lebih banyak konduktansi bermakna aliran semasa yang lebih mudah, yang bermaksud kurang rintangan, tidak lebih.
Tidak, rintangan yang tinggi bermakna kekonduksian yang rendah.Kekonduksian adalah ukuran betapa mudahnya elektrik mengalir melalui bahan.Sekiranya rintangan tinggi, elektrik mempunyai masa yang sukar, jadi kekonduksian rendah.Mereka bertentangan.Bahan dengan rintangan yang tinggi, seperti getah atau kaca, dipanggil penebat kerana mereka menghalang aliran elektrik dan mempunyai kekonduksian yang rendah.
Konduksi adalah tentang bagaimana mudah elektrik mengalir melalui objek atau bahagian tertentu, seperti wayar atau perintang.Ia bergantung kepada bahan, saiz, dan bentuk objek.Kekonduksian adalah tentang betapa mudahnya elektrik mengalir melalui bahan itu sendiri, tidak kira saiznya.Ia adalah harta bahan, seperti tembaga atau getah.
Ya, konduktansi adalah rintangan (atau songsang) rintangan.Ini bermakna jika anda tahu rintangan, anda boleh mencari konduktansi dengan membahagikan 1 dengan nombor itu: G = 1 / R. Jadi, jika perintang mempunyai rintangan 10 ohm, konduktansinya adalah 0.1 Siemens.Hubungan ini menunjukkan bahawa lebih mudah untuk semasa lulus (konduktansi tinggi), kurang bahan menentangnya (rintangan rendah), dan sebaliknya.
pada 2025/05/1
pada 2025/04/30
pada 8000/04/24 147827
pada 2000/04/24 116861
pada 1600/04/24 111382
pada 0400/04/24 85359
pada 1970/01/1 82158
pada 1970/01/1 67783
pada 1970/01/1 64269
pada 1970/01/1 63532
pada 1970/01/1 54313
pada 1970/01/1 52552